Toggle navigation
Имя пользователя или адрес электронной почты
Пароль
Запомнить
Вход
Регистрация
|
Я забыл свой пароль
Статьи
Блог по развитию
Вопросы
Задать вопрос
Поиск по сайту
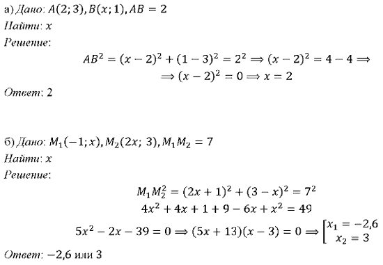
Найдите х, если: а) расстояние между точками А (2; 3) и В (х; 1) равно 2; б) расстояние между точками М1 (-1; х)
Найдите х, если: а) расстояние между точками А (2; 3) и В (х; 1) равно 2; б) расстояние между точками М1 (-1; х) и М2 (2х; 3) равно 7.
спросил
06 Авг, 22
от
irina
ответить
Пожалуйста,
войдите
или
зарегистрируйтесь
чтобы ответить на этот вопрос.
1
Ответ
Ответ к заданию по геометрии:
ответил
06 Авг, 22
от
anika
Похожие вопросы
1
ответ
Докажите, что расстояние между любыми двумя точками М1 (x1; 0) и М2 (х2; 0) оси абсцисс вычисляется
спросил
06 Авг, 22
от
irina
1
ответ
При каком значении х расстояние между точками С (3; 2) и D (х; -1) равно 5?
спросил
21 Дек, 22
от
irina
1
ответ
Точка М1(х; 2) является образом точки М (3; у) при параллельном переносе, при котором точка А (2; 3) является
спросил
27 Дек, 22
от
irina