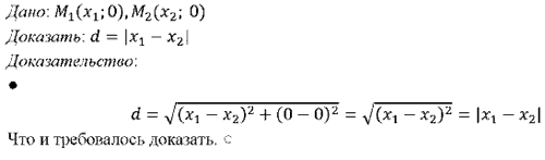
Докажите, что расстояние между любыми двумя точками М1 (x1; 0) и М2 (х2; 0) оси абсцисс вычисляется по формуле d = |х1 - х2|.
от

1 Ответ

Ответ к заданию по геометрии:

 

от