Toggle navigation
Имя пользователя или адрес электронной почты
Пароль
Запомнить
Вход
Регистрация
|
Я забыл свой пароль
Статьи
Блог по развитию
Вопросы
Задать вопрос
Поиск по сайту
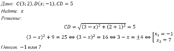
При каком значении х расстояние между точками С (3; 2) и D (х; -1) равно 5?
При каком значении х расстояние между точками С (3; 2) и D (х; -1) равно 5?
спросил
21 Дек, 22
от
irina
ответить
Пожалуйста,
войдите
или
зарегистрируйтесь
чтобы ответить на этот вопрос.
1
Ответ
Ответ к заданию по геометрии:
ответил
21 Дек, 22
от
anika
Похожие вопросы
1
ответ
При каком значении x расстояние между точками C (3, 2) и D (x; -1) равна 5?
спросил
23 Окт, 21
от
irina
1
ответ
Найдите х, если: а) расстояние между точками А (2; 3) и В (х; 1) равно 2; б) расстояние между точками М1 (-1; х)
спросил
06 Авг, 22
от
irina
1
ответ
Найдите расстояние между точками С и D, если: 1) С (-2; -4), D (4; -12); 2) С (6; 3), D (7; -1).
спросил
21 Дек, 22
от
irina