Toggle navigation
Имя пользователя или адрес электронной почты
Пароль
Запомнить
Вход
Регистрация
|
Я забыл свой пароль
Статьи
Блог по развитию
Вопросы
Задать вопрос
Поиск по сайту
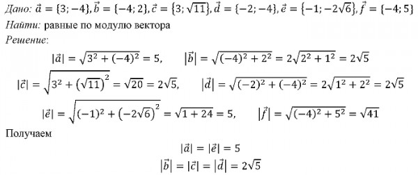
Среди векторов а (3; -4), b(-4;2), с (3; √11), d (-2;-4), е (-1; -2√6) и f (-4; 5) найдите те, которые имеют
Среди векторов а (3; -4), b(-4;2), с (3; √11), d (-2;-4), е (-1; -2√6) и f (-4; 5) найдите те, которые имеют равные модули.
спросил
23 Дек, 22
от
irina
ответить
Пожалуйста,
войдите
или
зарегистрируйтесь
чтобы ответить на этот вопрос.
1
Ответ
Ответ к заданию по геометрии:
ответил
23 Дек, 22
от
anika
Похожие вопросы
1
ответ
Найдите длины векторов: а) а {5; 9}; б) b {-3; 4}; в) с {-10; -10}; г) d {10; 17}; д) е {11; -11}; е) f {10; 0}.
спросил
06 Авг, 22
от
irina
1
ответ
Даны векторы а {2; 4}, b {-2; 0}, с{0;0}, d{-2;-3}, е(2;-3}, f {0, 5}. Найдите координаты векторов,
спросил
05 Авг, 22
от
irina
1
ответ
Среди нижеперечисленных элементов укажите те, которые относятся к s-элементам, р-элементам, d-элементам и f-элементам: а) никель;
спросил
29 Авг, 24
от
irina