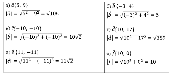
Найдите длины векторов: а) а {5; 9}; б) b {-3; 4}; в) с {-10; -10}; г) d {10; 17}; д) е {11; -11}; е) f {10; 0}.
от

1 Ответ

Ответ к заданию по геометрии:

 

от