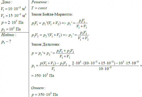
Два сосуда, вместимость которых 10 и 15 л, содержат газ при разных давлениях. После соединения сосудов в них установилось давление 200 кПа. Каково было начальное давление в меньшем сосуде, если начальное давление в большем сосуде 100 кПа? Температура постоянна.
от

1 Ответ

Ответ к вопросу приложен:

 

от