Toggle navigation
Имя пользователя или адрес электронной почты
Пароль
Запомнить
Вход
Регистрация
|
Я забыл свой пароль
Статьи
Блог по развитию
Вопросы
Задать вопрос
Поиск по сайту
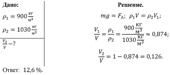
Оцените, какая часть айсберга (в процентах) находится над водой в море (рис. 30)?
Оцените, какая часть айсберга (в процентах) находится над водой в море (рис. 30)?
спросил
24 Июль, 22
от
irina
ответить
Пожалуйста,
войдите
или
зарегистрируйтесь
чтобы ответить на этот вопрос.
1
Ответ
Ответ к вопросу приложен:
ответил
24 Июль, 22
от
anika
Похожие вопросы
1
ответ
Определите, какая часть объёма айсберга находится под водой.
спросил
28 Сен, 23
от
irina
1
ответ
Плотность воды равна 1030 кг/м3, а плотность льда 900 кг/м3. Определите, какая часть айсберга (в %) находится под водой.
спросил
27 Ноя, 21
от
irina
1
ответ
Какая часть n1 от всего объема айсберга находится над поверхностью воды? Плотность льда равна 0,9×10²кг/м³, плотность воды 1×10³кг/м³
спросил
23 Дек, 24
от
irina